报录比是指考研报考人数和实际录取人数的比例,也是考研的考生们关注的重要数据!以下是整理的5所已公布25年考研报录比的院校,供大家参考!
注:部分院校仅公布报考人数,可结合学院招生简章或招生计划一起参考。
1、电子科技大学


原文链接:https://yz.uestc.edu.cn/klbcx.jsp?urltype=tree.TreeTempUrl&wbtreeid=1093
2、兰州大学

原文链接:https://yz.lzu.edu.cn/chaxunhuizong/2016/1103/146175.html
3、南京邮电大学
原文链接:https://yzb.njupt.edu.cn/2025/0526/c7813a284312/page.htm
4、首都经济贸易大学

原文链接:https://yjs.cueb.edu.cn/zsks/zsdt/49b202d71d2a43d1b97113ba93d57c72.htm
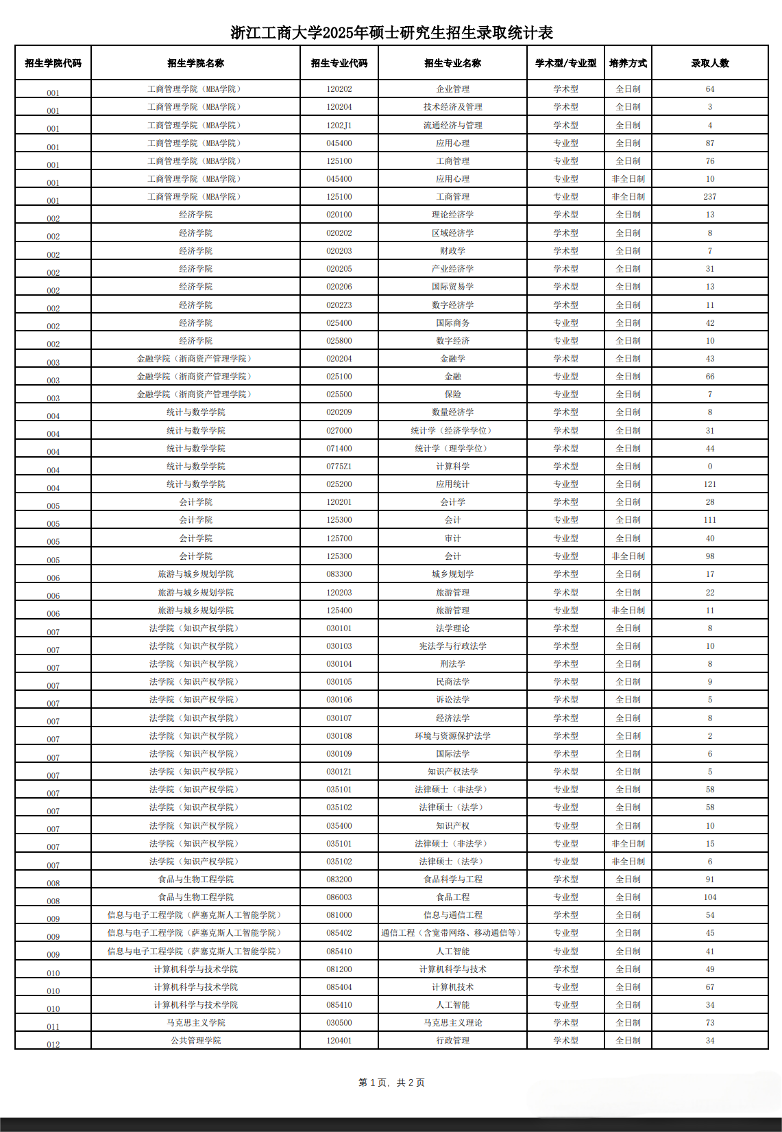
5、浙江工商大学(录取人数)

原文链接:https://yjszs.zjgsu.edu.cn/2025/0604/c476a196331/page.htm
来源:考研常识
2025年06月06日